Brunt-Väisälä Oscillations
→ Working material: BruntVaisala/,
BruntVaisala.tar.gz
[untar this file by typing tar zxf BruntVaisala.tar.gz]
This numerical experiment consists in the study of the internal gravity
waves generated by the free oscillations of an entropy bubble in an
isothermal atmosphere.
We start the DNS by putting an entropy bubble in hydrostatic
equilibrium using the following initial condition for the entropy
in the 'start.in' file:
init_ss = 'blob_hs'
The bubble then oscillates and generates internal waves whom
the eigenfrequencies can be found analytically for an isothermal
atmosphere (e.g. Dintrans & Brandenburg 2004):
Questions:
- Change the sound speed value in order to change the density
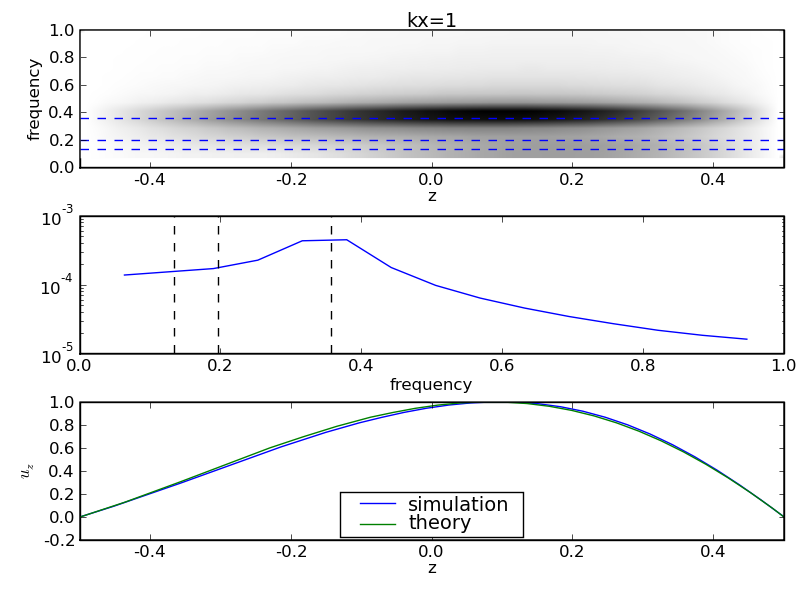
ratio across the layer (use the Python subroutines 'init.py' to plot the initial
setup and 'pvid.py' for animations). How the mode and spectrum
evolve with increasing H? Compare with the analytical eigenvectors
(use the Python subroutines 'fourier.py' and 'profile'.py).
- Study the influence of the viscosity on the vertical momentum evolution (use
the Python subroutine 'peaks.py').
- Change the aspect ratio of the box. How the kinetic energy
spectrum is evolving with larger boxes?
References
Dintrans, B., & Brandenburg, A. 2004, Identification of gravity
waves in hydrodynamical simulations, A&A, 421, 775 (astro-ph/0311094)
Numerical Experiments homepage
$Date: 2009/04/27 12:22:29 $, $Author: pc $, $Revision: 1.11 $